数字金融对基于消费的家庭二氧化碳排放量的影响及机理分析
token钱包 2025年5月4日 17:23:40 token钱包官方网站 82

数字金融与可持续发展联系密切,它会对家庭碳排放(HCE)造成影响,其中规模效应发挥了一定作用,组合效应也发挥了一定作用,这些都很值得深入研究。
数字金融影响HCE的新视角
过往的研究多数关注数字经济或者数字金融跟基于生产的二氧化碳排放的关系,很少会考虑数字金融和HCE,尤其是实证研究这方面。本次研究是首个考虑数字金融对基于消费的HCE传导机制的,这里面有规模和组合效应,填补了该领域空白,带来了全新研究视角。
规模效应的具体表现
机理分析显示,数字金融能够带动消费规模增长,促使HCE增加,这就是规模效应。一般而言,规模效应是指数字金融引发的消费规模对HCE的作用。在进行IV估计时,DF和Ln_con_exp呈现出明显的正相关关系,这意味着数字金融有增加消费规模的可能,还会通过诱导出更大的消费规模来加重HCE。
组合效应的内涵作用
组合效应所描述的是,更高的数字金融水平可能会使碳密集型产品和服务的组合减少,从而有助于减少HCE。在这个过程里,蚂蚁用户可以参与进来,并且能够见证自身向更绿色消费行为转变所取得的成就。这会致使HCE低于预先设定的基准,此基准以减少炫耀性消费作为代表。
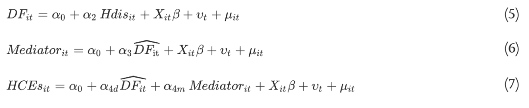
模型分析与因果效应
研究进一步采用工具变量(IV)模型来处理内生性问题,通过这种方式估计数字金融对HCE的因果效应。借助IV模型弄清楚数字金融对HCE影响背后的传导机制,补充数字金融领域的相关内容,进而更清晰地呈现二者的内在因果联系。

两种效应的强弱对比

综合各项结果来看,数字金融存在减少HCE的组合效应,不过随着数字金融整体增加HCE,规模效应超过了组合效应,这一结论有助于更深入理解数字金融影响HCE时各效应的作用力度,也有助于更深入理解数字金融影响HCE时各效应的方向。

发展建议与研究局限
为了使数字金融在可持续发展中发挥更优作用,中国应扩大数字金融在消费领域的绿色属性,要给予从事绿色数字金融的企业积极政策支持。不过研究存在局限,比如绿色消费高质量数据不足,这可能低估数字金融对HCE的影响,且尚未评估数字金融政策对其他市场主体环境行为的影响。
你认为在促使绿色消费这件事情上,数字金融还能在哪些方面起到作用?你可以进行点赞分享,之后在评论区说出你的看法。
tokenim钱包官网下载是全球性的数字资产管理工具,旨在存储、管理和交易加密货币。作为非托管钱包,用户完全控制自己的私钥,确保资产的安全和隐私。tokenim钱包安卓版支持多种主流加密货币,包括比特币和以太坊,操作界面友好,适合各类用户。此外,它还内置去中心化应用(DApp)浏览器,为用户提供丰富的区块链应用体验,方便进行多样化的数字资产管理。